Официальное опубликование правовых актов
ОФИЦИАЛЬНОЕ ОПУБЛИКОВАНИЕ
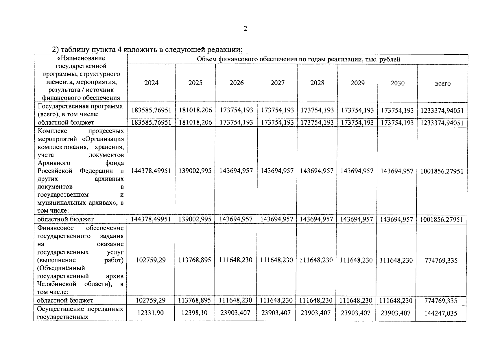
Постановление Правительства Челябинской области от 19.02.2026 № 136-П
"О внесении изменений в постановление Правительства Челябинской области от 13.11.2020 г. № 578-П"
Номер опубликования: 7400202602200004
Дата опубликования: 20.02.2026
Страница №3 из 6:
Увеличить