Официальное опубликование правовых актов
ОФИЦИАЛЬНОЕ ОПУБЛИКОВАНИЕ
Постановление Правительства Челябинской области от 29.01.2026 № 81-П
"О внесении изменений в постановление Правительства Челябинской области от 28.12.2017 г. № 732-П"
Номер опубликования: 7400202602060001
Дата опубликования: 06.02.2026
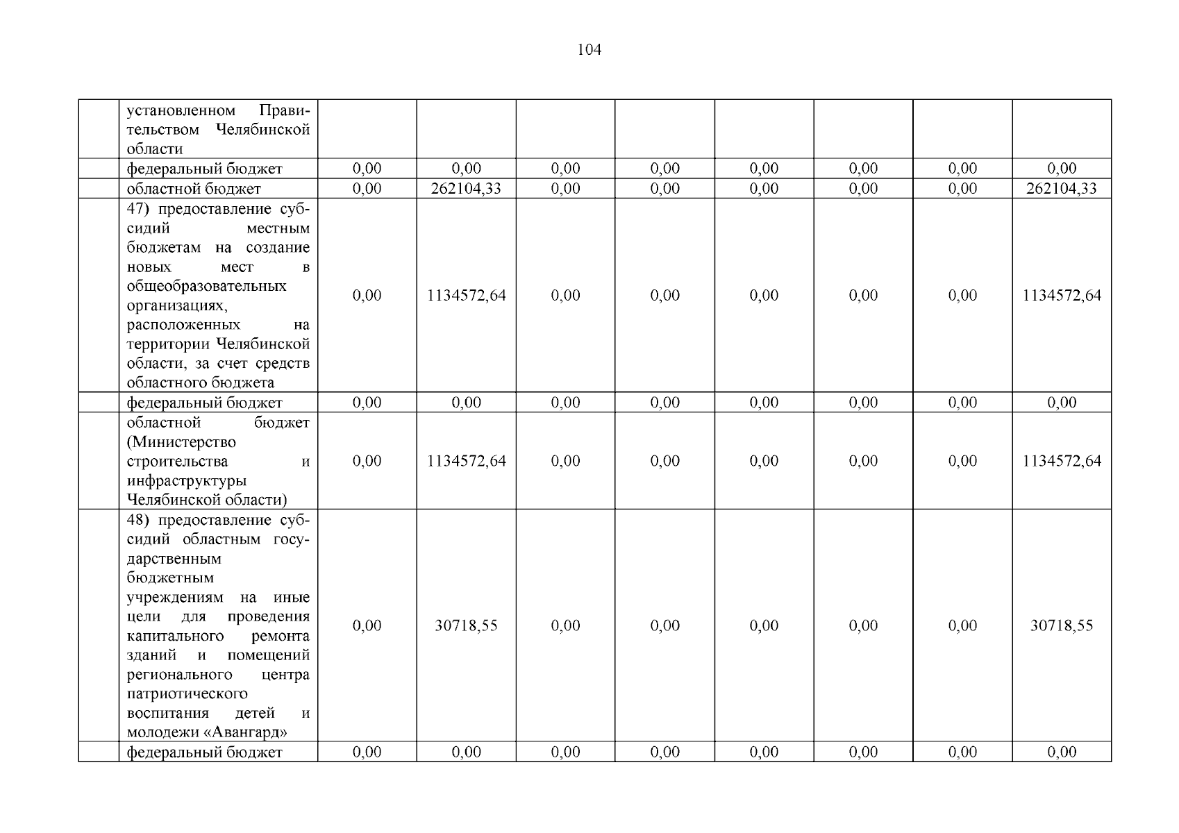
Страница №106 из 210:
Увеличить