Официальное опубликование правовых актов
ОФИЦИАЛЬНОЕ ОПУБЛИКОВАНИЕ
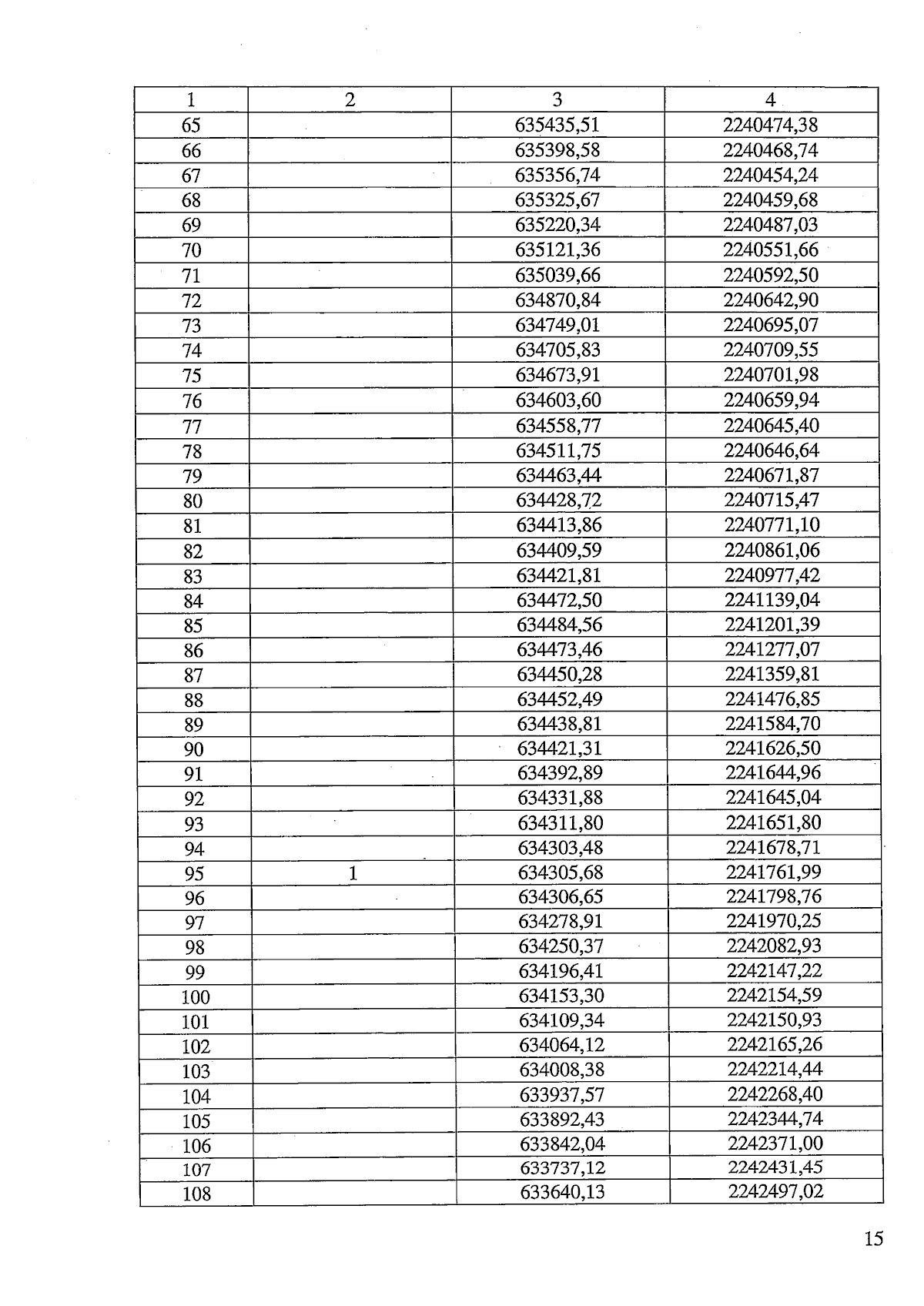
Закон Челябинской области от 06.11.2025 № 178-ЗО
"О внесении изменений в Закон Челябинской области "О статусе и границах Миасского городского округа Челябинской области"
Номер опубликования: 7400202511060018
Дата опубликования: 06.11.2025
Страница №15 из 101:
Увеличить