Официальное опубликование правовых актов
ОФИЦИАЛЬНОЕ ОПУБЛИКОВАНИЕ
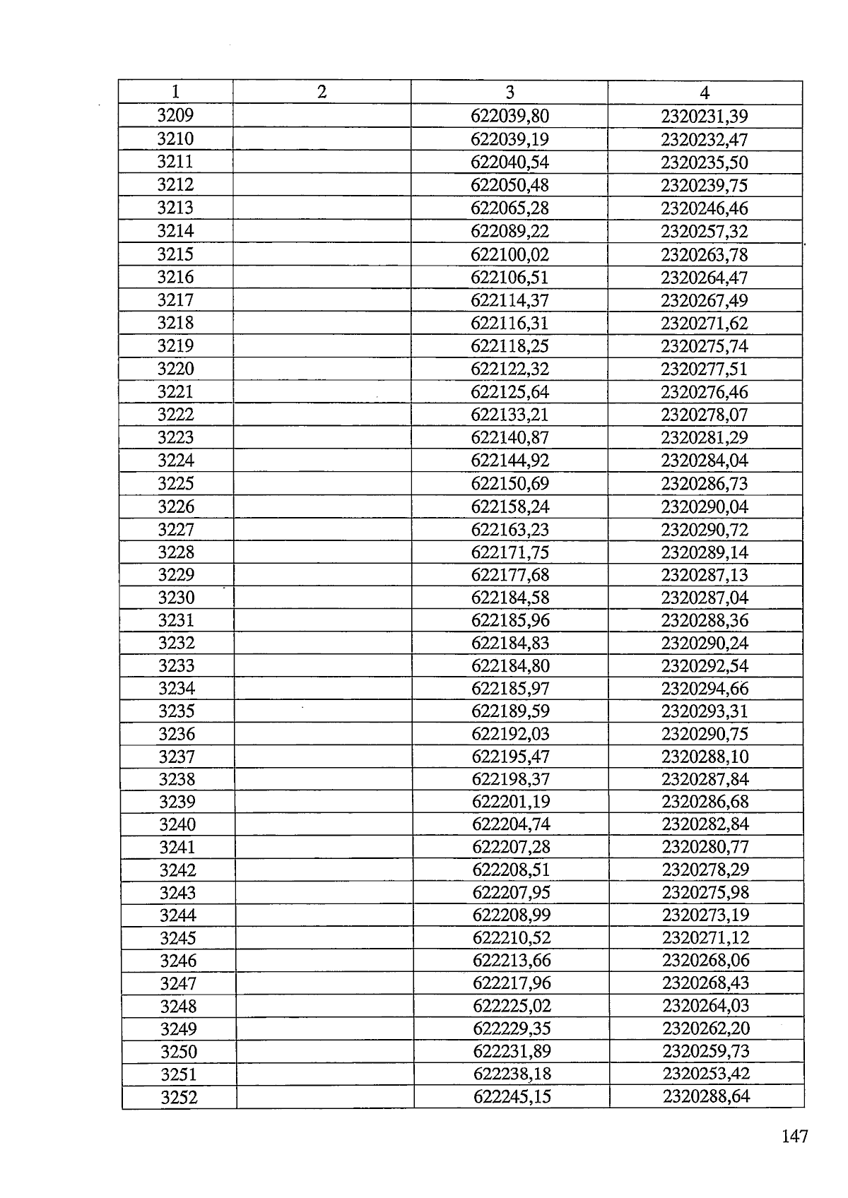
Закон Челябинской области от 25.04.2025 № 70-ЗО
"О внесении изменений в Закон Челябинской области "О статусе и границах Челябинского городского округа"
Номер опубликования: 7400202504250007
Дата опубликования: 25.04.2025
Страница №147 из 154:
Увеличить