Постановление Правительства Челябинской области от 29.11.2024 № 673-П
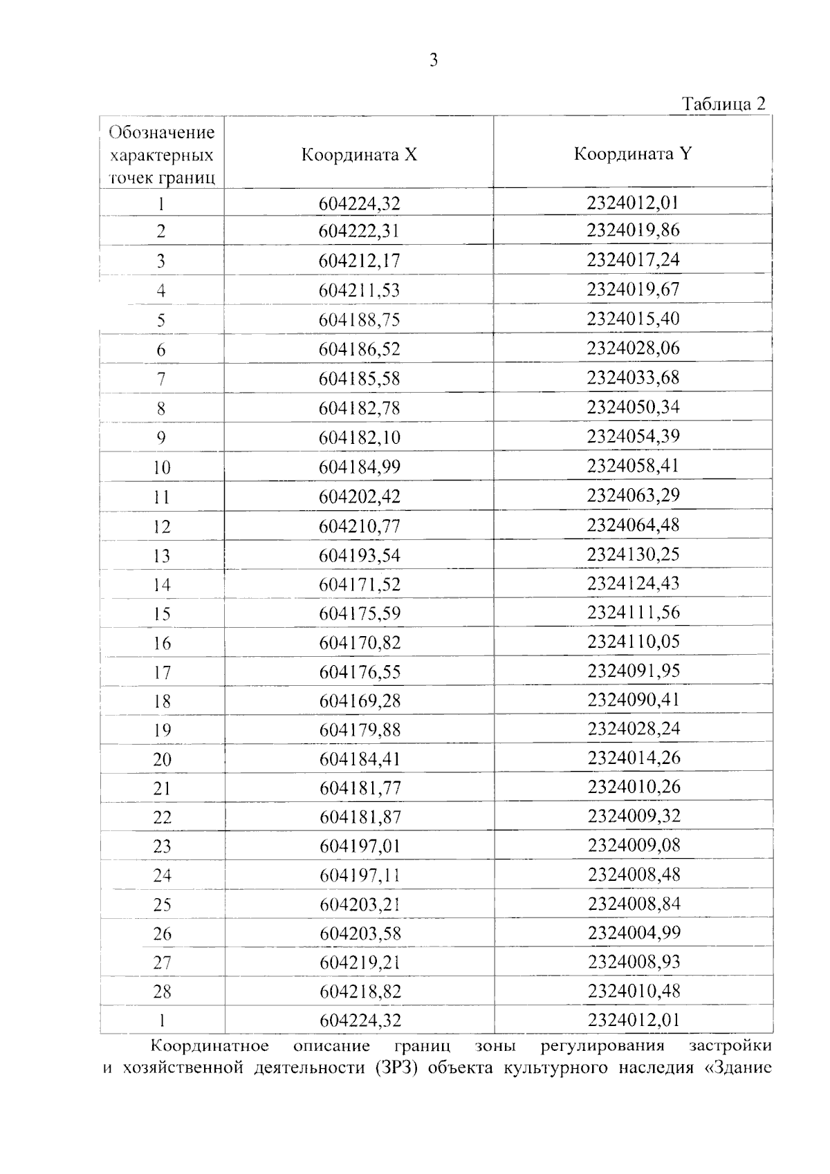
"Об утверждении границ зон охраны, особых режимов использования земель зон охраны и требований к градостроительным регламентам в границах территорий данных зон объекта культурного наследия местного (муниципального) значения "Здание бани Челябинского переселенческого пункта", расположенного по адресу: Челябинская область, город Челябинск, улица Монакова, дом 39"
"Об утверждении границ зон охраны, особых режимов использования земель зон охраны и требований к градостроительным регламентам в границах территорий данных зон объекта культурного наследия местного (муниципального) значения "Здание бани Челябинского переселенческого пункта", расположенного по адресу: Челябинская область, город Челябинск, улица Монакова, дом 39"
Номер опубликования: 7400202412020010
Дата опубликования:
02.12.2024
