Официальное опубликование правовых актов
ОФИЦИАЛЬНОЕ ОПУБЛИКОВАНИЕ
Постановление Правительства Челябинской области от 29.11.2024 № 675-П
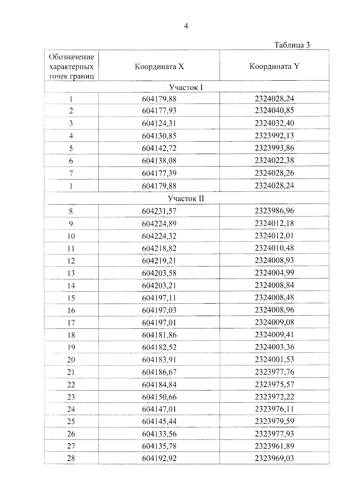
"Об утверждении границ зон охраны, особых режимов использования земель зон охраны и требований к градостроительным регламентам в границах территорий данных зон объекта культурного наследия местного (муниципального) значения "Хирургический корпус больницы Челябинского переселенческого пункта", расположенного по адресу: Челябинская область, город Челябинск, улица Переселенческий пункт, дом 26"
Номер опубликования: 7400202412020009
Дата опубликования: 02.12.2024
Страница №6 из 19:
Увеличить