Официальное опубликование правовых актов
ОФИЦИАЛЬНОЕ ОПУБЛИКОВАНИЕ
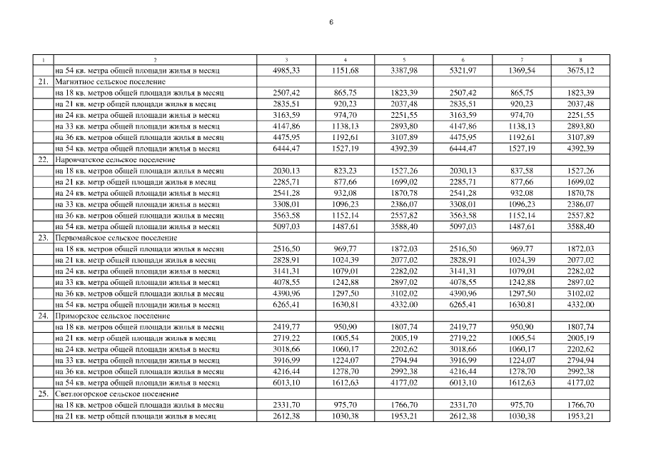
Постановление Правительства Челябинской области от 19.04.2021 № 140-П
"О региональных стандартах стоимости жилищно-коммунальных услуг по Челябинской области на 2021 год"
Номер опубликования: 7400202104200012
Дата опубликования: 20.04.2021
Страница №8 из 253:
Увеличить