Официальное опубликование правовых актов
ОФИЦИАЛЬНОЕ ОПУБЛИКОВАНИЕ
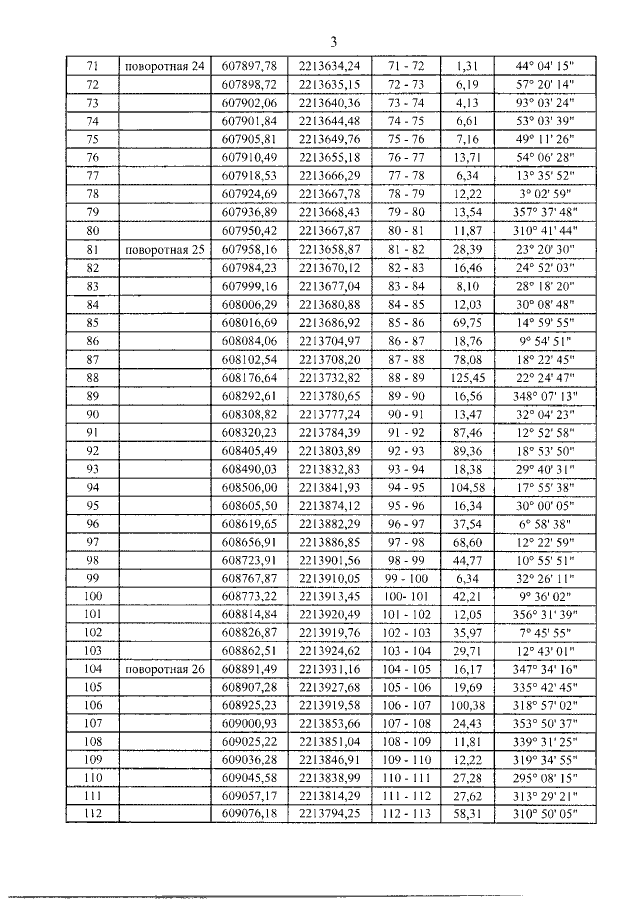
Постановление Правительства Челябинской области от 03.12.2020 № 647-П
"Об установлении границ памятника природы Челябинской области гора Косотур"
Номер опубликования: 7400202012070016
Дата опубликования: 07.12.2020
Страница №8 из 9:
Увеличить