Официальное опубликование правовых актов
ОФИЦИАЛЬНОЕ ОПУБЛИКОВАНИЕ
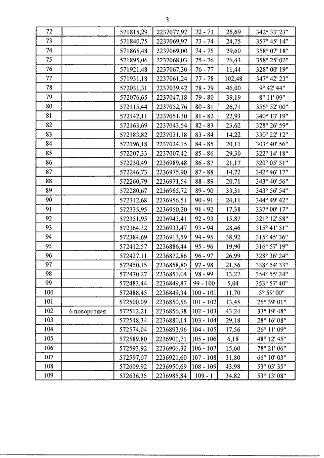
Постановление Правительства Челябинской области от 03.12.2020 № 649-П
"Об установлении границ памятника природы Челябинской области Горный луг хребта Чашковского"
Номер опубликования: 7400202012070007
Дата опубликования: 07.12.2020
Страница №6 из 6:
Увеличить