Официальное опубликование правовых актов
ОФИЦИАЛЬНОЕ ОПУБЛИКОВАНИЕ
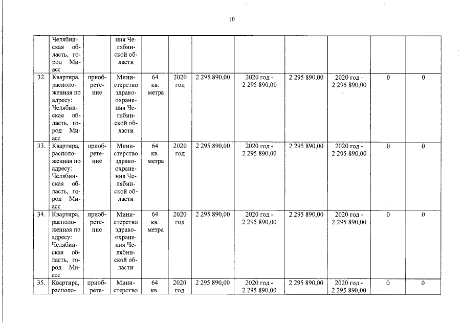
Постановление Правительства Челябинской области от 27.08.2020 № 431-П
"О принятии решения о предоставлении бюджетных ассигнований на приобретение объектов недвижимого имущества в государственную собственность Челябинской области"
Номер опубликования: 7400202008310001
Дата опубликования: 31.08.2020
Страница №19 из 30:
Увеличить