Официальное опубликование правовых актов
ОФИЦИАЛЬНОЕ ОПУБЛИКОВАНИЕ
Постановление Губернатора Челябинской области от 23.07.2020 № 188
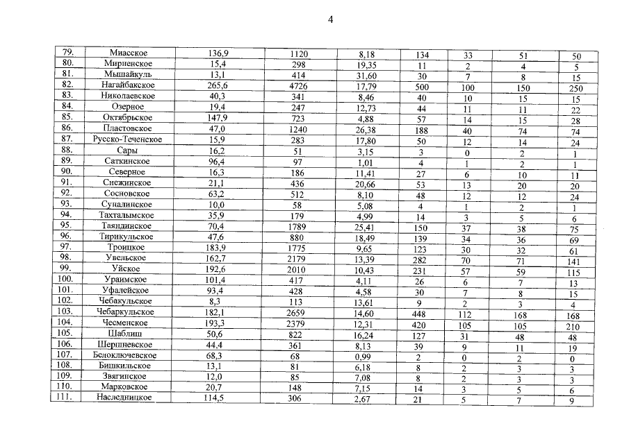
"Об утверждении лимита и квот добычи косули сибирской, лося, рыси в Челябинской области на период с 1 августа 2020 года до 1 августа 2021 года"
Номер опубликования: 7400202007240010
Дата опубликования: 24.07.2020
Страница №7 из 12:
Увеличить