Официальное опубликование правовых актов
ОФИЦИАЛЬНОЕ ОПУБЛИКОВАНИЕ
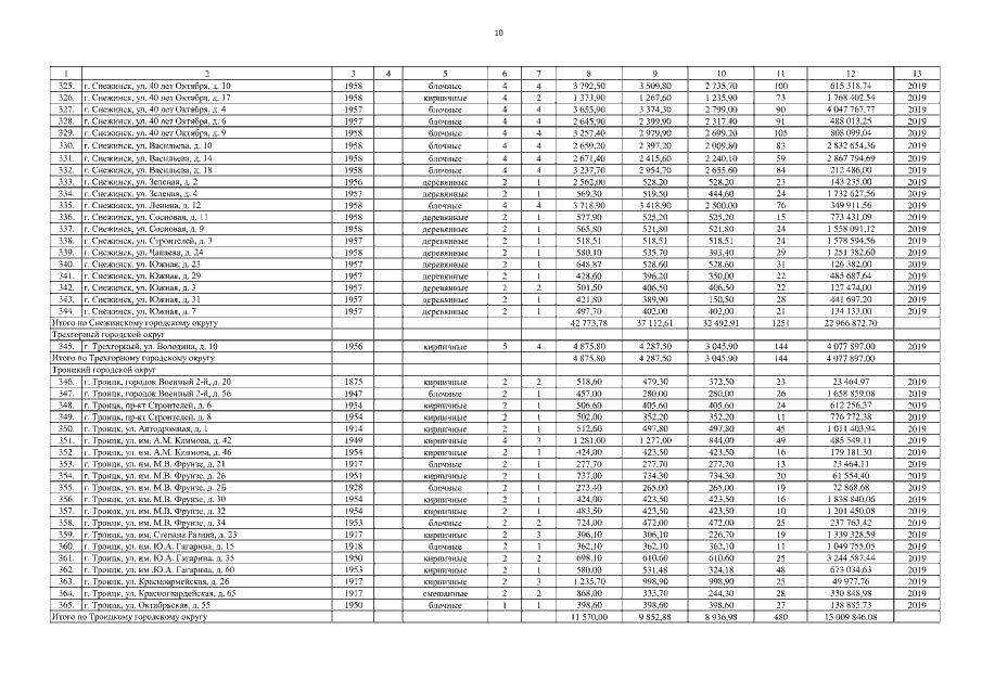
Постановление Правительства Челябинской области от 15.06.2020 № 266-П
"О внесении изменений в постановление Правительства Челябинской области от 29.11.2019 г. № 538-П"
Номер опубликования: 7400202006160007
Дата опубликования: 16.06.2020
Страница №31 из 1048:
Увеличить