Официальное опубликование правовых актов
ОФИЦИАЛЬНОЕ ОПУБЛИКОВАНИЕ
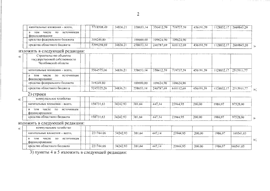
Постановление Правительства Челябинской области от 25.05.2020 № 220-П
"О внесении изменений в постановление Правительства Челябинской области от 09.04.2014 г. № 122-П"
Номер опубликования: 7400202005260005
Дата опубликования: 26.05.2020
Страница №4 из 7:
Увеличить