Официальное опубликование правовых актов
ОФИЦИАЛЬНОЕ ОПУБЛИКОВАНИЕ
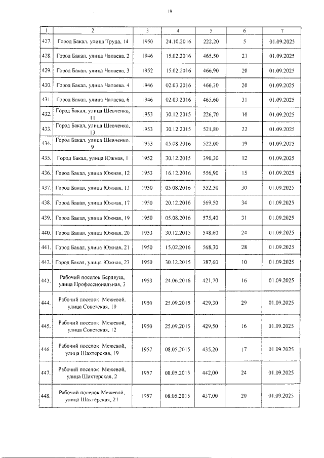
Постановление Правительства Челябинской области от 27.02.2020 № 71-П
"О внесении изменений в постановление Правительства Челябинской области от 29.03.2019 г. № 158-П"
Номер опубликования: 7400202002280006
Дата опубликования: 28.02.2020
Страница №37 из 86:
Увеличить