Официальное опубликование правовых актов
ОФИЦИАЛЬНОЕ ОПУБЛИКОВАНИЕ
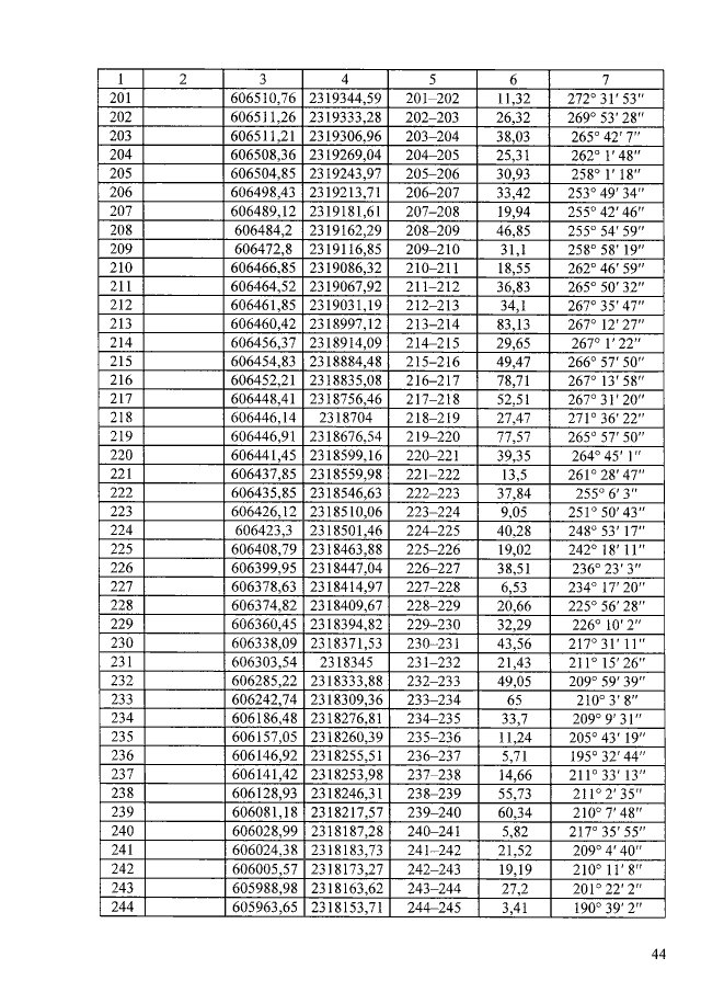
Постановление Законодательного Собрания Челябинской области от 26.12.2019 № 2240
"О внесении изменений в постановление Законодательного Собрания Челябинской области "Об утверждении границ памятника природы Челябинской области Челябинского (городского) бора и его охранной зоны"
Номер опубликования: 7400201912300013
Дата опубликования: 30.12.2019
Страница №44 из 75:
Увеличить