Официальное опубликование правовых актов
ОФИЦИАЛЬНОЕ ОПУБЛИКОВАНИЕ
Постановление Правительства Челябинской области от 18.09.2019 № 393-П
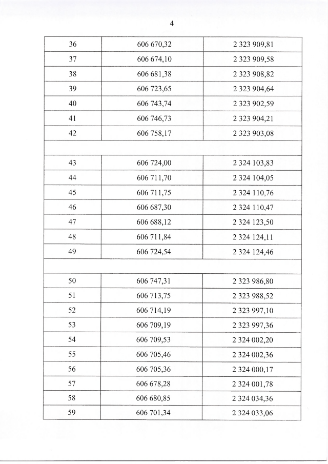
"Об утверждении границ объединенной зоны охраны, особых режимов использования земель и требований к градостроительным регламентам в границах территории данных зон объектов культурного наследия регионального значения: "Городская дума/Трамвайно-троллейбусное управление", расположенное по адресу: Челябинская область, город Челябинск, улица Труда, 66, "Первая теплоэлектростанцая города", расположенная по адресу: Челябинская область, город Челябинск, улица Труда, 66, "Угловой двухэтажный каменный дом с лавкой купца Г.Н. Каширина", расположенный по адресу: Челябинская область, город Челябинск, улица Свободы, 14/улица Труда, 62"
Номер опубликования: 7400201909190002
Дата опубликования: 19.09.2019
Страница №7 из 36:
Увеличить