Официальное опубликование правовых актов
ОФИЦИАЛЬНОЕ ОПУБЛИКОВАНИЕ
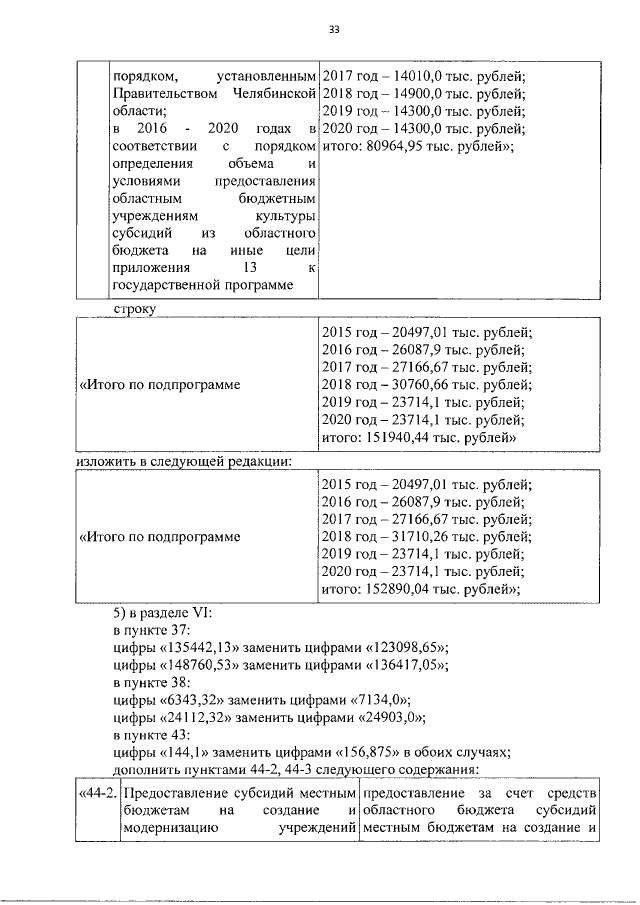
Постановление Правительства Челябинской области от 26.12.2018 № 654-П
"О внесении изменений в постановление Правительства Челябинской области от 27.11.2014 г. № 638-П"
Номер опубликования: 7400201812260011
Дата опубликования: 26.12.2018
Страница №34 из 58:
Увеличить