Официальное опубликование правовых актов
ОФИЦИАЛЬНОЕ ОПУБЛИКОВАНИЕ
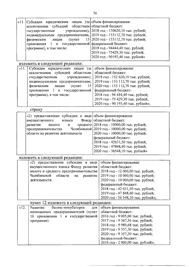
Постановление Правительства Челябинской области от 06.12.2018 № 599-П
"О внесении изменений в постановление Правительства Челябинской области от 16.12.2015 г. № 623-П"
Номер опубликования: 7400201812060001
Дата опубликования: 06.12.2018
Страница №75 из 94:
Увеличить