Официальное опубликование правовых актов
ОФИЦИАЛЬНОЕ ОПУБЛИКОВАНИЕ
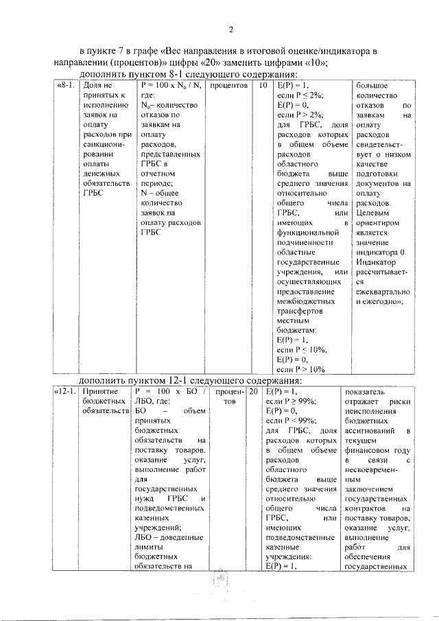
Постановление Правительства Челябинской области от 29.11.2018 № 532-П
"О внесении изменений в постановление Правительства Челябинской области от 27.07.2011 г. № 253-П"
Номер опубликования: 7400201811300011
Дата опубликования: 30.11.2018
Страница №2 из 4:
Увеличить