Официальное опубликование правовых актов
ОФИЦИАЛЬНОЕ ОПУБЛИКОВАНИЕ
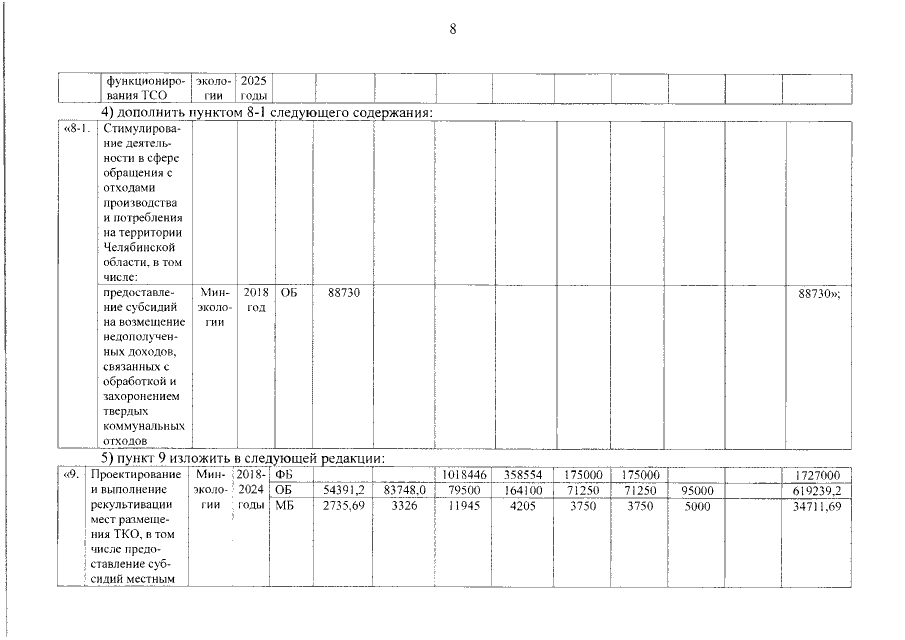
Постановление Правительства Челябинской области от 08.11.2018 № 513-П
"О внесении изменений в постановление Правительства Челябинской области от 02.11.2017 г. № 573-П"
Номер опубликования: 7400201811080001
Дата опубликования: 08.11.2018
Страница №9 из 39:
Увеличить