Официальное опубликование правовых актов
ОФИЦИАЛЬНОЕ ОПУБЛИКОВАНИЕ
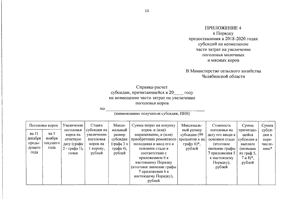
Постановление Правительства Челябинской области от 26.10.2018 № 492-П
"О Порядке предоставления в 2018-2020 годах субсидий на возмещение части затрат на увеличение поголовья молочных и мясных коров"
Номер опубликования: 7400201810300022
Дата опубликования: 30.10.2018
Страница №14 из 18:
Увеличить