Официальное опубликование правовых актов
ОФИЦИАЛЬНОЕ ОПУБЛИКОВАНИЕ
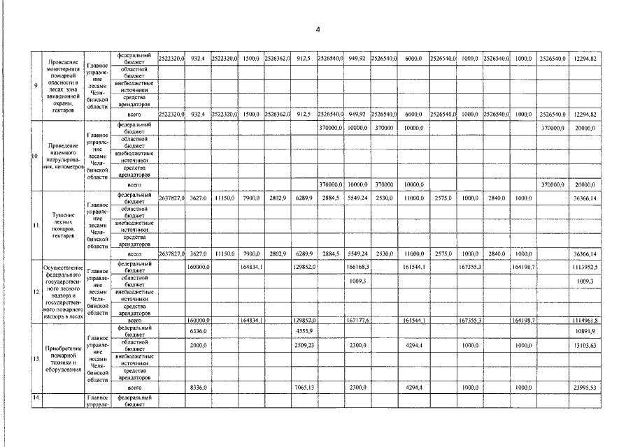
Постановление Правительства Челябинской области от 24.09.2018 № 441-П
"О внесении изменений в постановление Правительства Челябинской области от 22.10.2013 г. № 363-П"
Номер опубликования: 7400201809260005
Дата опубликования: 26.09.2018
Страница №6 из 27:
Увеличить