Официальное опубликование правовых актов
ОФИЦИАЛЬНОЕ ОПУБЛИКОВАНИЕ
Постановление Правительства Челябинской области от 31.07.2018 № 329-П
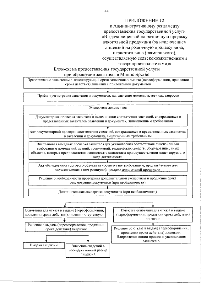
"Об Административном регламенте предоставления государственной услуги "Выдача лицензий на розничную продажу алкогольной продукции (за исключением лицензий на розничную продажу вина, игристого вина (шампанского), осуществляемую сельскохозяйственными товаропроизводителями)"
Номер опубликования: 7400201808030033
Дата опубликования: 03.08.2018
Страница №46 из 60:
Увеличить