Официальное опубликование правовых актов
ОФИЦИАЛЬНОЕ ОПУБЛИКОВАНИЕ
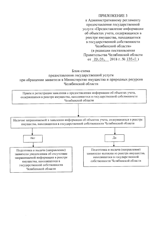
Постановление Правительства Челябинской области от 29.03.2018 № 136-П
"О внесении изменений в постановление Правительства Челябинской области от 26.06.2013 г. № 110-П"
Номер опубликования: 7400201804030006
Дата опубликования: 03.04.2018
Страница №21 из 22:
Увеличить