Официальное опубликование правовых актов
ОФИЦИАЛЬНОЕ ОПУБЛИКОВАНИЕ
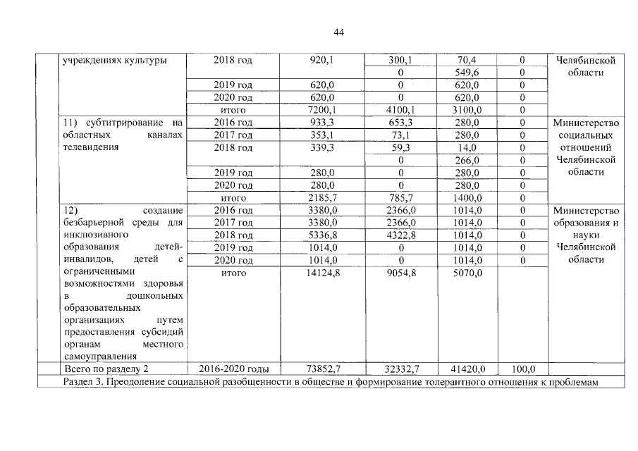
Постановление Правительства Челябинской области от 22.12.2017 № 710-П
"О внесении изменений в постановление Правительства Челябинской области от 24.12.2015 г. № 688-П"
Номер опубликования: 7400201712250010
Дата опубликования: 25.12.2017
Страница №45 из 108:
Увеличить