Официальное опубликование правовых актов
ОФИЦИАЛЬНОЕ ОПУБЛИКОВАНИЕ
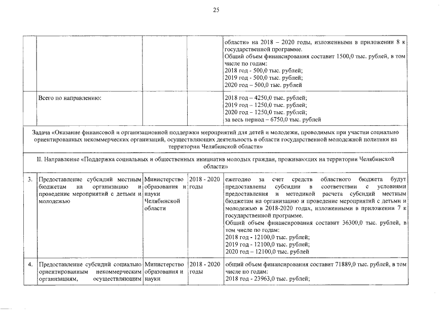
Постановление Правительства Челябинской области от 18.12.2017 № 666-П
"Об утверждении государственной программы Челябинской области "Повышение эффективности реализации молодежной политики в Челябинской области" на 2018 – 2020 годы"
Номер опубликования: 7400201712200002
Дата опубликования: 20.12.2017
Страница №28 из 82:
Увеличить