Официальное опубликование правовых актов
ОФИЦИАЛЬНОЕ ОПУБЛИКОВАНИЕ
Постановление Правительства Челябинской области от 20.10.2017 № 568-П
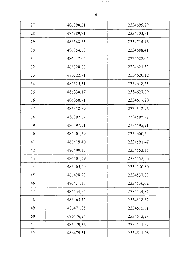
"Об утверждении границ зон охраны, особых режимов использования земель и требований к градостроительным регламентам в границах территорий данных зон объекта культурного наследия федерального значения "Здание пассажа Яушевых", расположенного по адресу: Челябинская область, город Троицк, улица имени Братьев Малышевых, дом 34"
Номер опубликования: 7400201710230006
Дата опубликования: 23.10.2017
Страница №8 из 20:
Увеличить