Официальное опубликование правовых актов
ОФИЦИАЛЬНОЕ ОПУБЛИКОВАНИЕ
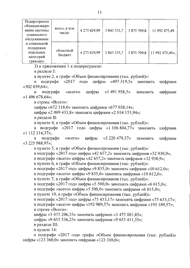
Постановление Правительства Челябинской области от 16.10.2017 № 526-П
"О внесении изменений в постановление Правительства Челябинской области от 20.12.2016 г. № 674-П"
Номер опубликования: 7400201710160003
Дата опубликования: 16.10.2017
Страница №12 из 14:
Увеличить