Официальное опубликование правовых актов
ОФИЦИАЛЬНОЕ ОПУБЛИКОВАНИЕ
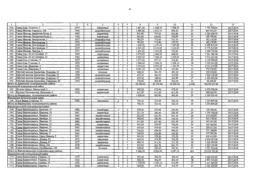
Постановление Правительства Челябинской области от 18.07.2017 № 387-П
"О внесении изменений в постановление Правительства Челябинской области от 30.09.2016 г. № 526-П"
Номер опубликования: 7400201707190022
Дата опубликования: 19.07.2017
Страница №47 из 204:
Увеличить