Официальное опубликование правовых актов
ОФИЦИАЛЬНОЕ ОПУБЛИКОВАНИЕ
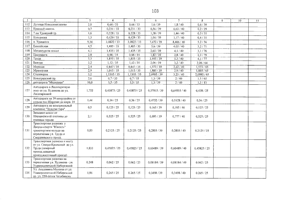
Постановление Правительства Челябинской области от 22.06.2017 № 306-П
"О внесении изменений в постановление Правительства Челябинской области от 28.11.2014 г. № 654-П"
Номер опубликования: 7400201706280001
Дата опубликования: 28.06.2017
Страница №146 из 212:
Увеличить