Официальное опубликование правовых актов
ОФИЦИАЛЬНОЕ ОПУБЛИКОВАНИЕ
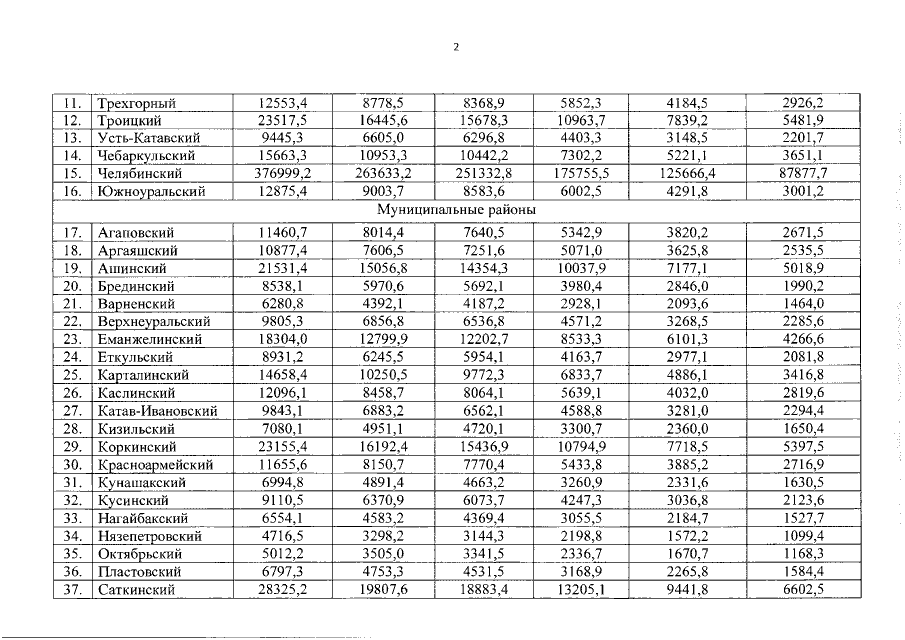
Постановление Правительства Челябинской области от 13.04.2017 № 180-П
"О распределении в 2017 году субсидий местным бюджетам для софинансирования расходных обязательств органов местного самоуправления по реализации приоритетного проекта "Формирование комфортной городской среды" и для софинансирования расходных обязательств органов местного самоуправления по обустройству мест массового отдыха населения (городских парков)"
Номер опубликования: 7400201704140003
Дата опубликования: 14.04.2017
Страница №4 из 6:
Увеличить