Официальное опубликование правовых актов
ОФИЦИАЛЬНОЕ ОПУБЛИКОВАНИЕ
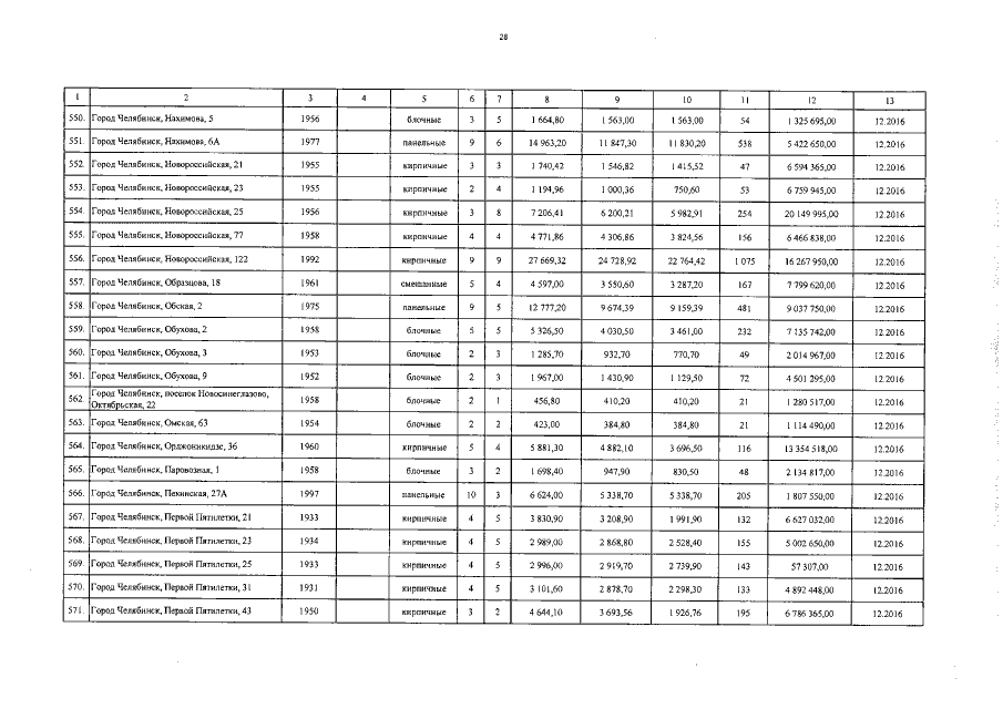
Постановление Правительства Челябинской области от 21.12.2016 № 719-П
"О внесении изменений в постановление Правительства Челябинской области от 20.06.2014 г. № 306-П"
Номер опубликования: 7400201612260019
Дата опубликования: 26.12.2016
Страница №108 из 216:
Увеличить