Официальное опубликование правовых актов
ОФИЦИАЛЬНОЕ ОПУБЛИКОВАНИЕ
Постановление Губернатора Челябинской области от 27.07.2016 № 206
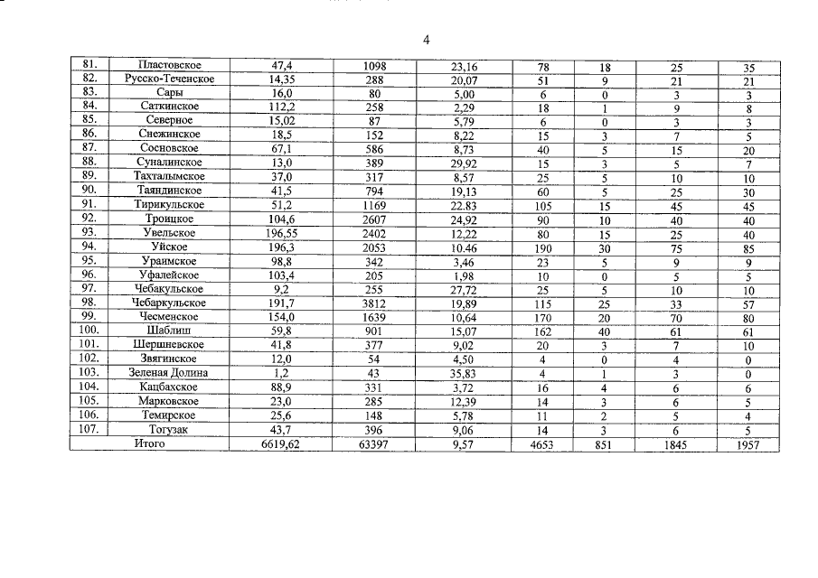
"Об утверждении лимита и квот добычи косули сибирской, лося, рыси в Челябинской области на период с 1 августа 2016 года до 1 августа 2017 года"
Номер опубликования: 7400201607280002
Дата опубликования: 28.07.2016
Страница №7 из 10:
Увеличить