Официальное опубликование правовых актов
ОФИЦИАЛЬНОЕ ОПУБЛИКОВАНИЕ
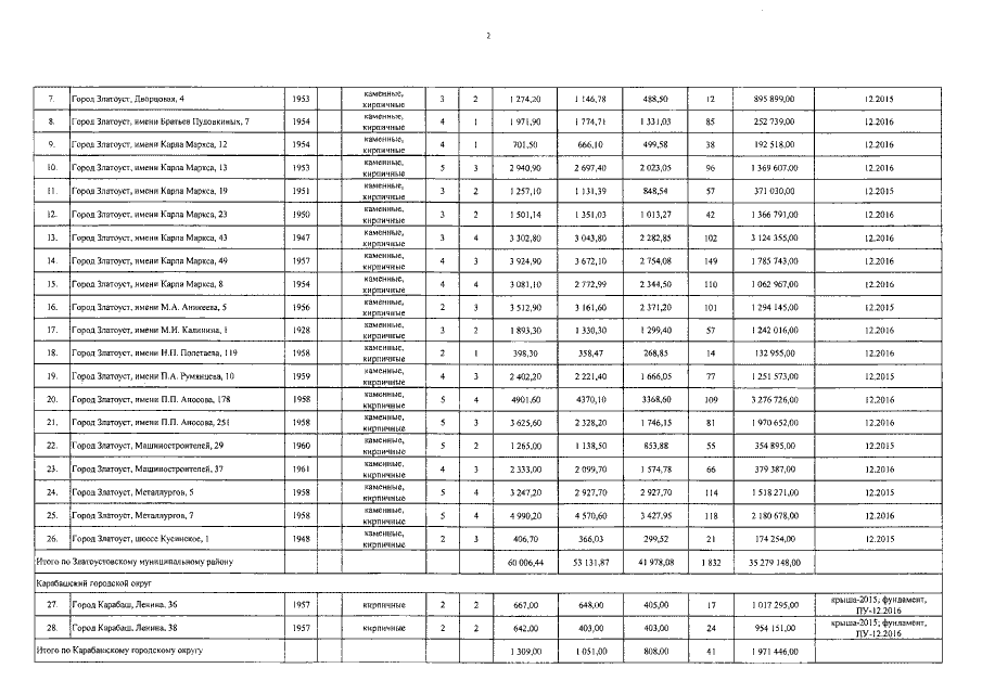
Постановление Правительства Челябинской области от 16.06.2016 № 322-П
"О внесении изменений в постановление Правительства Челябинской области от 20.06.2014 г. № 306-П"
Номер опубликования: 7400201606170004
Дата опубликования: 17.06.2016
Страница №5 из 215:
Увеличить