Официальное опубликование правовых актов
ОФИЦИАЛЬНОЕ ОПУБЛИКОВАНИЕ
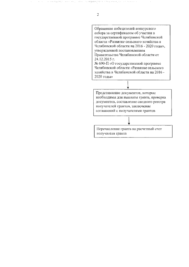
Постановление Правительства Челябинской области от 24.05.2016 № 277-П
"О внесении изменений в некоторые постановления Правительства Челябинской области"
Номер опубликования: 7400201605300002
Дата опубликования: 30.05.2016
Страница №16 из 40:
Увеличить