Официальное опубликование правовых актов
ОФИЦИАЛЬНОЕ ОПУБЛИКОВАНИЕ
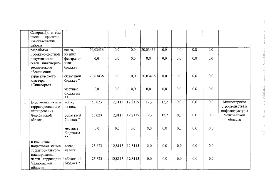
Постановление Правительства Челябинской области от 18.05.2016 № 233-П
"О внесении изменений в постановление Правительства Челябинской области от 22.10.2013 г. № 349-П"
Номер опубликования: 7400201605190001
Дата опубликования: 19.05.2016
Страница №19 из 26:
Увеличить