Официальное опубликование правовых актов
ОФИЦИАЛЬНОЕ ОПУБЛИКОВАНИЕ
Постановление Правительства Челябинской области от 21.10.2015 № 502-П
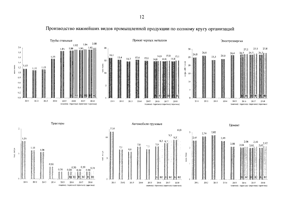
"О прогнозе социально-экономического развития Челябинской области на 2016 год и на плановый период 2017 и 2018 годов"
Номер опубликования: 7400201510230009
Дата опубликования: 23.10.2015
Страница №16 из 154:
Увеличить