Официальное опубликование правовых актов
ОФИЦИАЛЬНОЕ ОПУБЛИКОВАНИЕ
Постановление Правительства Челябинской области от 15.04.2015 № 199-П
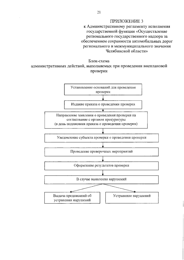
"Об Административном регламенте исполнения государственной функции "Осуществление регионального государственного надзора за обеспечением сохранности автомобильных дорог регионального и межмуниципального значения Челябинской области"
Номер опубликования: 7400201504170036
Дата опубликования: 17.04.2015
Страница №23 из 23:
Увеличить