Официальное опубликование правовых актов
ОФИЦИАЛЬНОЕ ОПУБЛИКОВАНИЕ
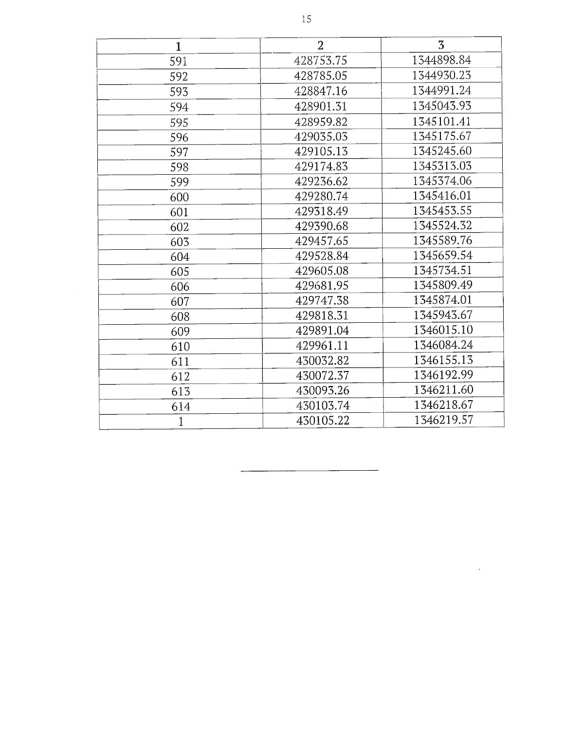
Приказ Министерства имущественных отношений, градостроительной деятельности и цифрового развития Ульяновской области от 26.12.2025 № 135-пр
"Об утверждении границы охранной зоны газопровода межпоселкового д. Иевлевка – с. Папузы – п. Сосновый Бор – п. Отрадинский – с. Годяйкино Базарносызганского района Ульяновской области, протяженностью 19514 м, местоположение: Российская Федерация, Ульяновская область, р-н Базарносызганский и наложении ограничений (обременений) на входящие в неё земельные участки"
Номер опубликования: 7301202512300006
Дата опубликования: 30.12.2025
Страница №17 из 17:
Увеличить