Официальное опубликование правовых актов
ОФИЦИАЛЬНОЕ ОПУБЛИКОВАНИЕ
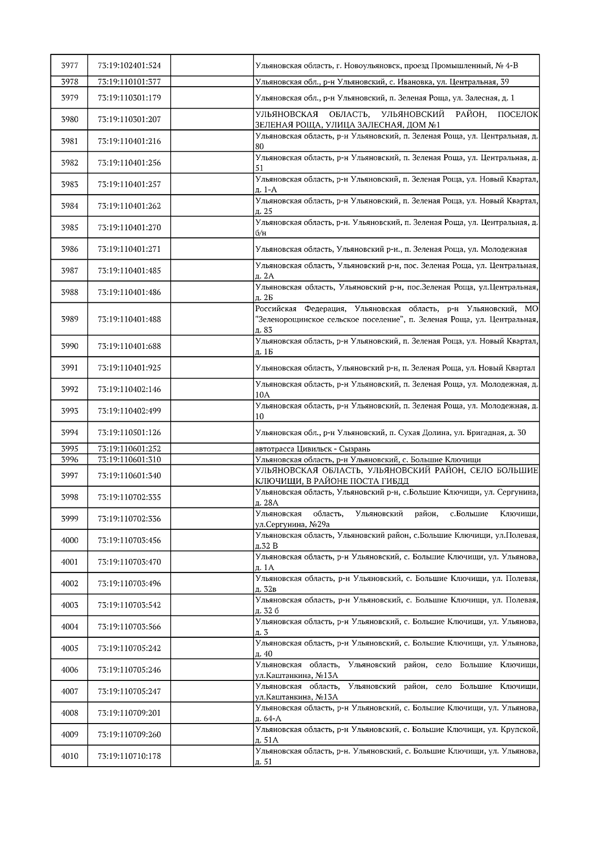
Приказ Министерства имущественных отношений, градостроительной деятельности и цифрового развития Ульяновской области от 25.11.2025 № 111-пр
"Об определении перечня объектов недвижимого имущества, в отношении которых налоговая база определяется как кадастровая стоимость, на 2026 год"
Номер опубликования: 7301202511260001
Дата опубликования: 26.11.2025
Страница №113 из 501:
Увеличить