Официальное опубликование правовых актов
ОФИЦИАЛЬНОЕ ОПУБЛИКОВАНИЕ
Приказ Агентства по регулированию цен и тарифов Ульяновской области от 28.03.2025 № 44-П
"О внесении изменений в отдельные приказы Агентства по регулированию цен и тарифов Ульяновской области"
(Зарегистрирован 28.03.2025 № ГР-17/44)
Номер опубликования: 7301202504020006
Дата опубликования: 02.04.2025
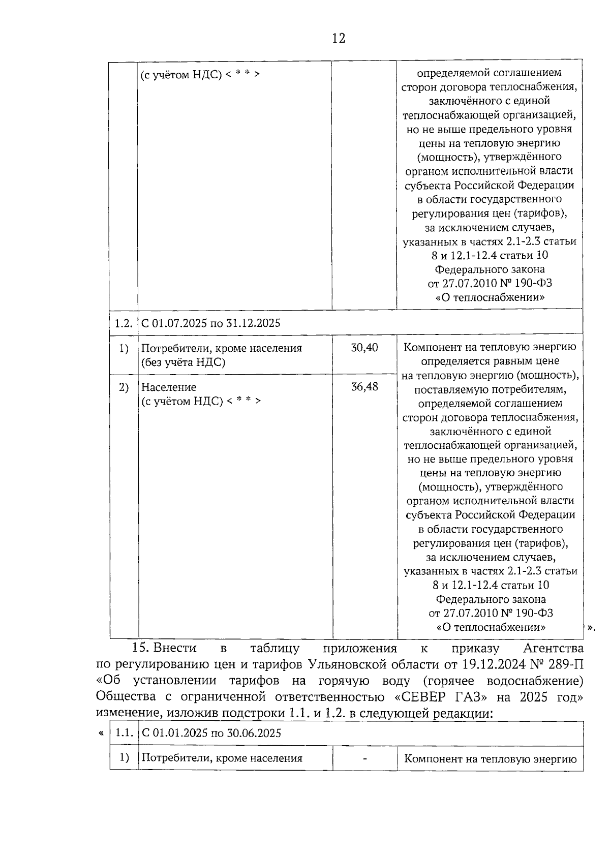
Страница №12 из 16:
Увеличить