Официальное опубликование правовых актов
ОФИЦИАЛЬНОЕ ОПУБЛИКОВАНИЕ
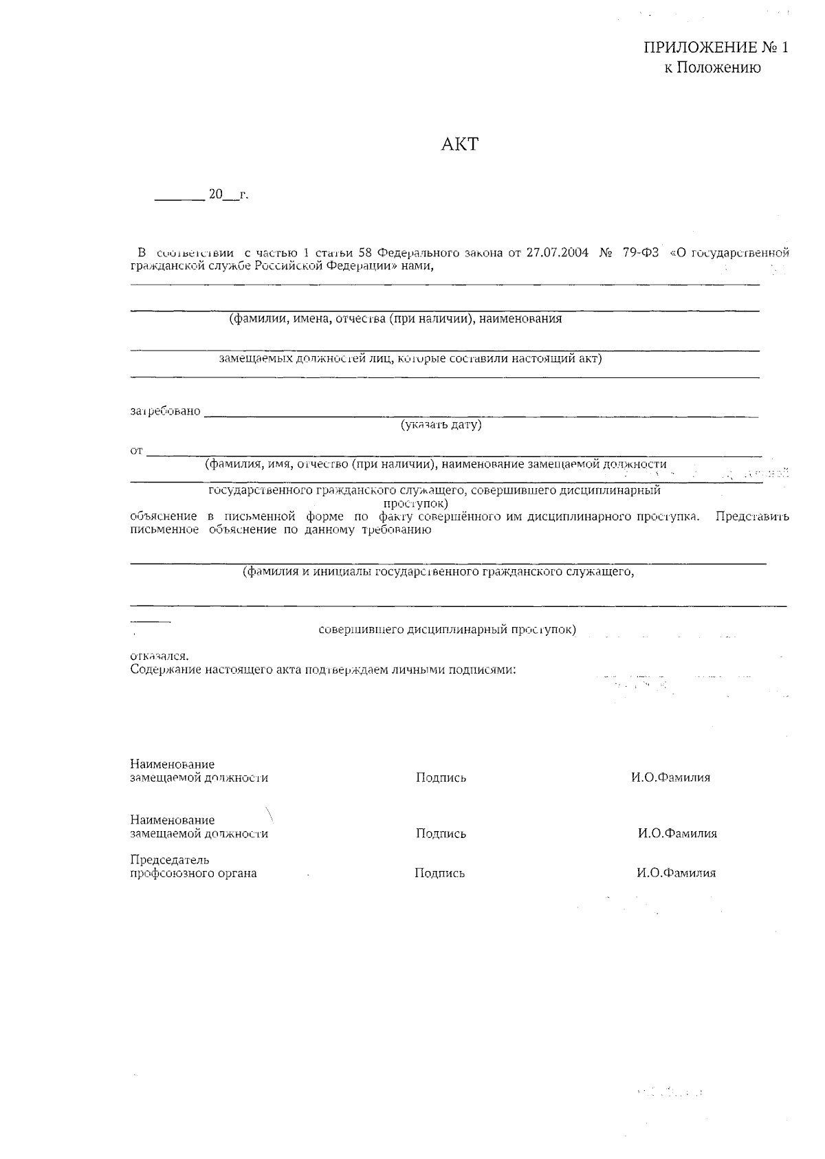
Приказ Министерства физической культуры и спорта Ульяновской области от 17.02.2025 № 5-п
"Об утверждении Положения о порядке проведения служебных проверок в отношении лиц, замещающих должности государственной гражданской службы Ульяновской области в Министерстве физической культуры и спорта Ульяновской области"
(Зарегистрирован 17.02.2025 № ГР-05/5)
Номер опубликования: 7301202502200002
Дата опубликования: 20.02.2025
Страница №6 из 7:
Увеличить