Официальное опубликование правовых актов
ОФИЦИАЛЬНОЕ ОПУБЛИКОВАНИЕ
Приказ Министерства жилищно-коммунального хозяйства и строительства Ульяновской области от 24.12.2024 № 61-П
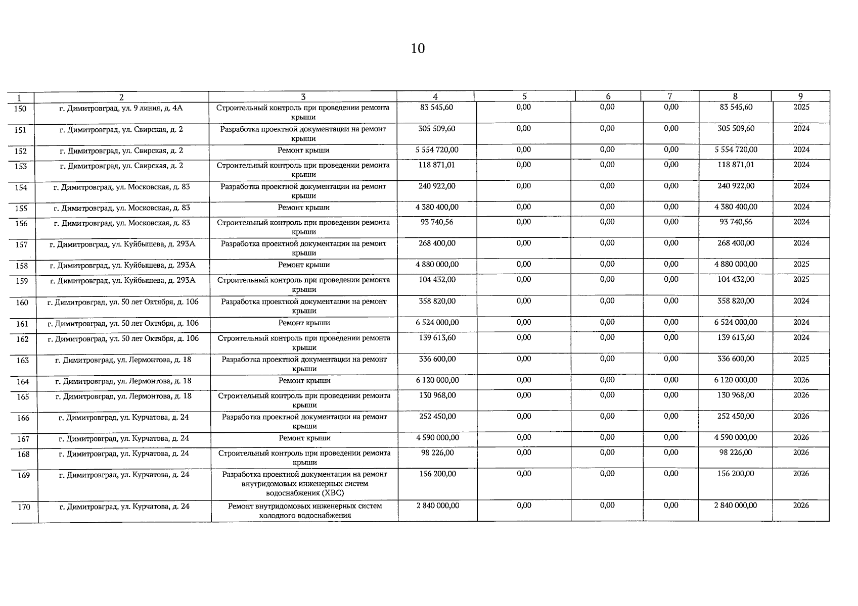
"Об утверждении краткосрочного плана реализации в 2024-2026 годах региональной программы капитального ремонта общего имущества в многоквартирных домах, расположенных на территории Ульяновской области"
(Зарегистрирован 24.12.2024 № ГР-07/61)
Номер опубликования: 7301202412260028
Дата опубликования: 26.12.2024
Страница №11 из 69:
Увеличить