Официальное опубликование правовых актов
ОФИЦИАЛЬНОЕ ОПУБЛИКОВАНИЕ
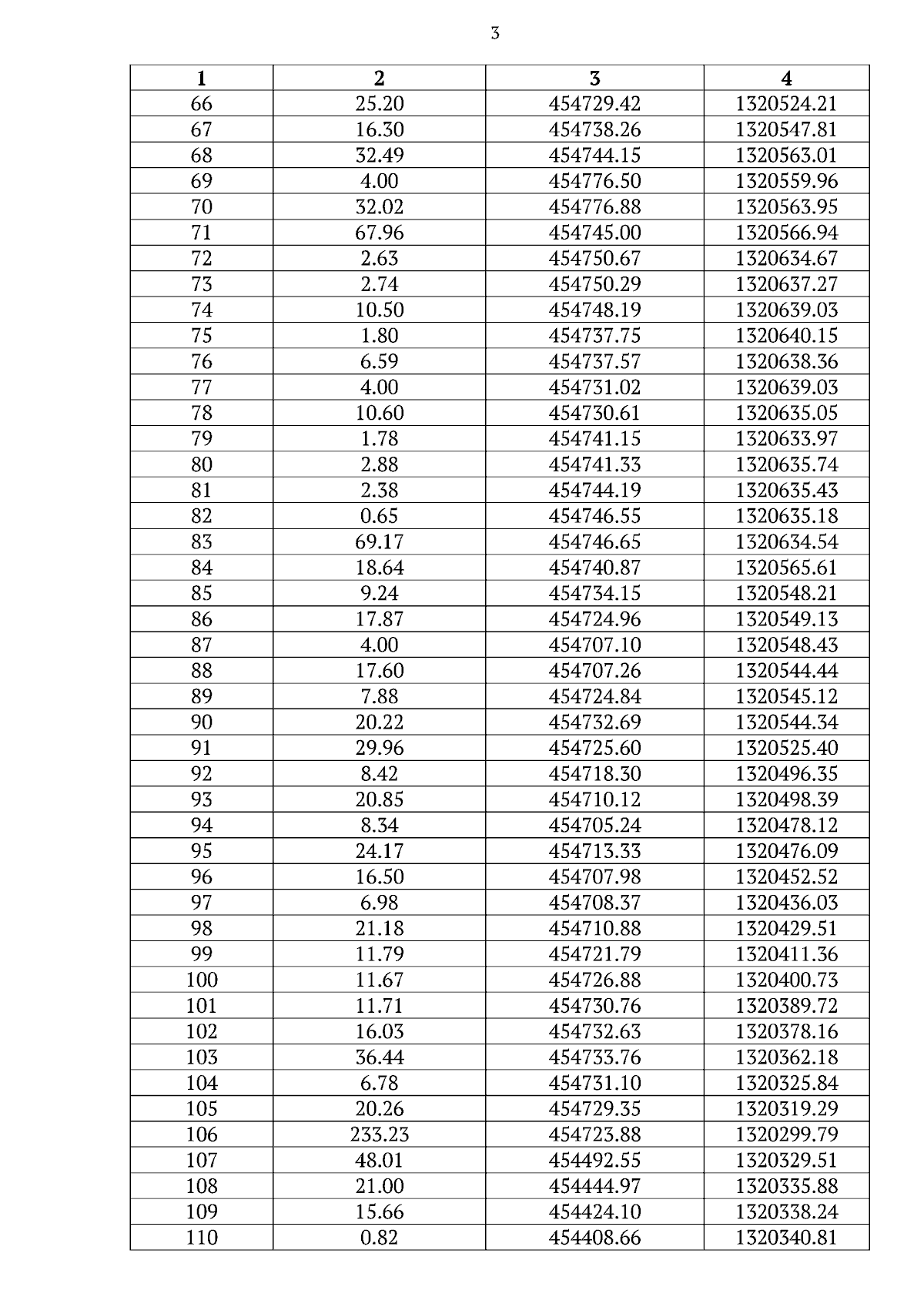
Приказ Министерства имущественных отношений и архитектуры Ульяновской области от 18.12.2024 № 327-пр
"Об утверждении границы охранной зоны газопровода, протяженностью 4184 м, местоположение: Ульяновская область, р-н Инзенский, г. Инза, ул. Малиновского, ул. Алашеева, ул. Ломоносова, ул. Парковая, ул. Л. Толстого и наложении ограничений (обременений) на входящие в неё земельные участки"
Номер опубликования: 7301202412200045
Дата опубликования: 20.12.2024
Страница №5 из 9:
Увеличить