Официальное опубликование правовых актов
ОФИЦИАЛЬНОЕ ОПУБЛИКОВАНИЕ
Приказ Агентства по регулированию цен и тарифов Ульяновской области от 13.12.2024 № 164-П
"Об утверждении производственной программы в сфере холодного водоснабжения и об установлении тарифов на питьевую воду (питьевое водоснабжение) для Муниципального унитарного предприятия "Вешкаймский водоканал" муниципального образования "Вешкаймский район" Ульяновской области на 2025 год"
(Зарегистрирован 13.12.2024 № ГР-17/164)
Номер опубликования: 7301202412200018
Дата опубликования: 20.12.2024
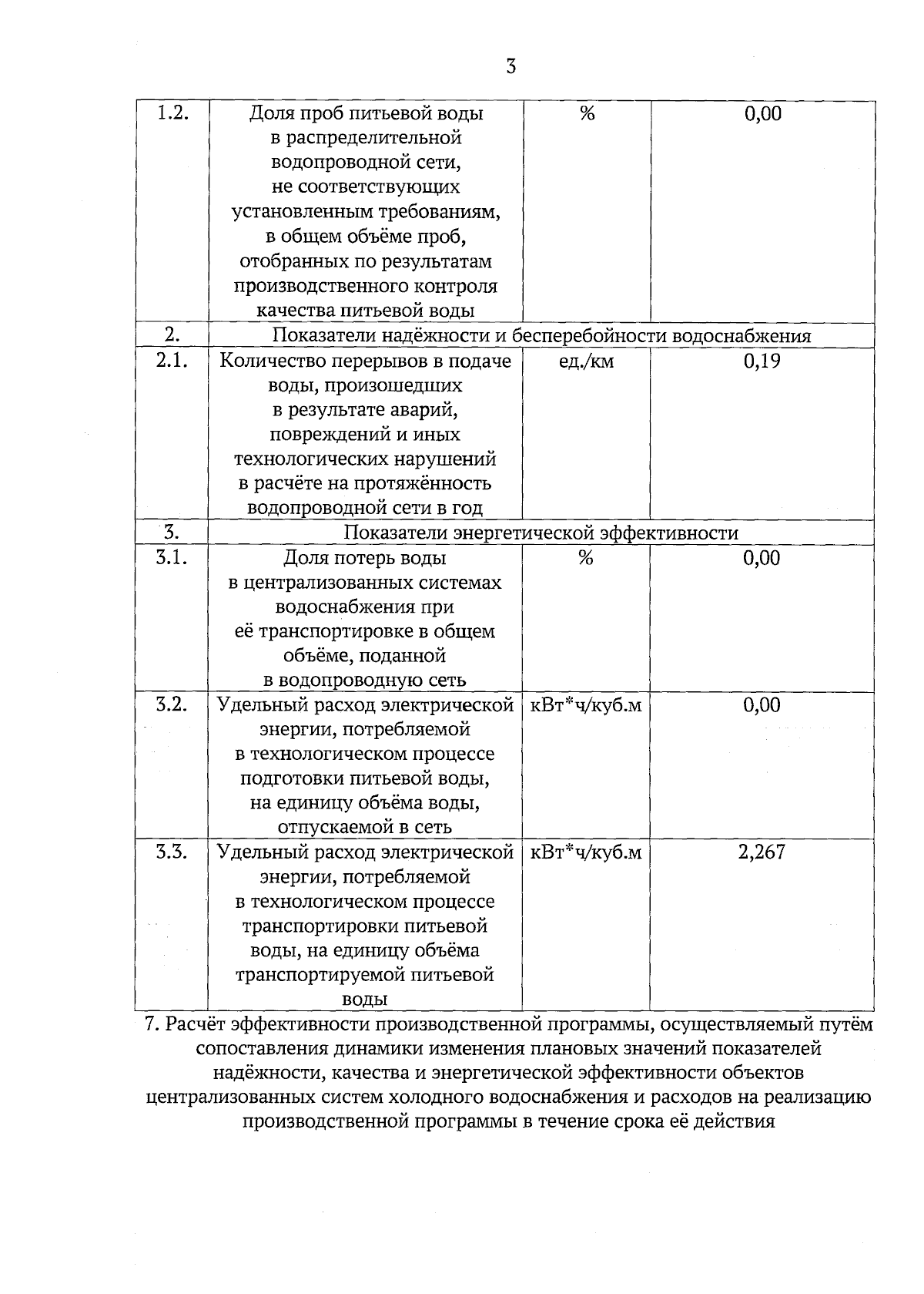
Страница №5 из 8:
Увеличить