Официальное опубликование правовых актов
ОФИЦИАЛЬНОЕ ОПУБЛИКОВАНИЕ
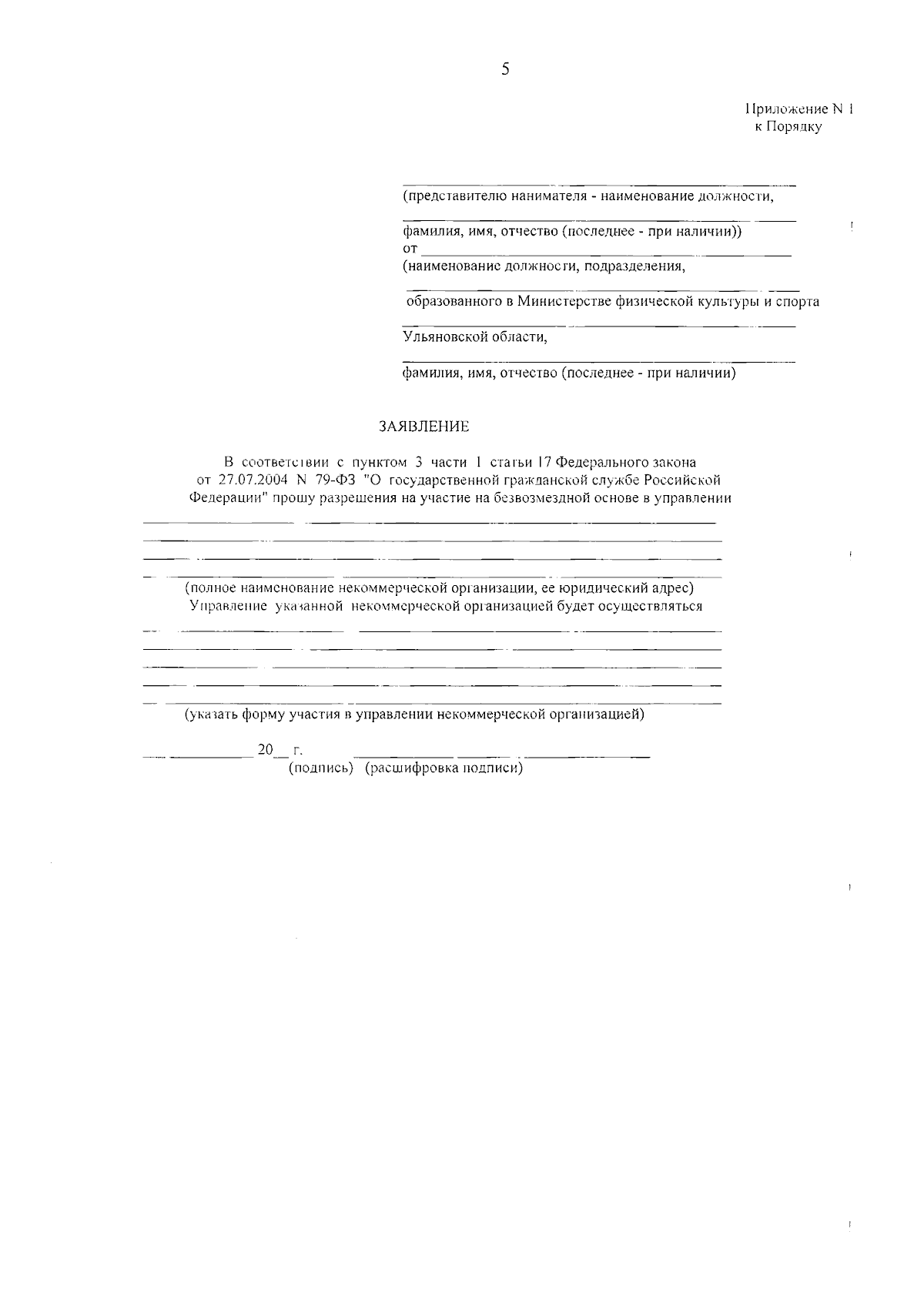
Приказ Министерства физической культуры и спорта Ульяновской области от 11.04.2024 № 21-п
"Об утверждении Порядка получения государственными гражданскими служащими Министерства физической культуры и спорта Ульяновской области разрешения представителя нанимателя на участие на безвозмездной основе в управлении некоммерческими организациями"
Номер опубликования: 7301202404180006
Дата опубликования: 18.04.2024
Страница №5 из 6:
Увеличить