Официальное опубликование правовых актов
ОФИЦИАЛЬНОЕ ОПУБЛИКОВАНИЕ
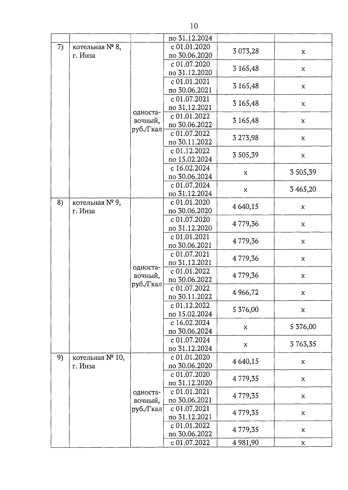
Приказ Агентства по регулированию цен и тарифов Ульяновской области от 13.02.2024 № 15-П
"О внесении изменений в приказ Министерства цифровой экономики и конкуренции Ульяновской области от 19.12.2019 № 06-447"
(Зарегистрирован 13.02.2024 № ГР-17/15)
Номер опубликования: 7301202402160008
Дата опубликования: 16.02.2024
Страница №10 из 13:
Увеличить