Официальное опубликование правовых актов
ОФИЦИАЛЬНОЕ ОПУБЛИКОВАНИЕ
Приказ Министерства жилищно-коммунального хозяйства и строительства Ульяновской области от 24.01.2024 № 3-П
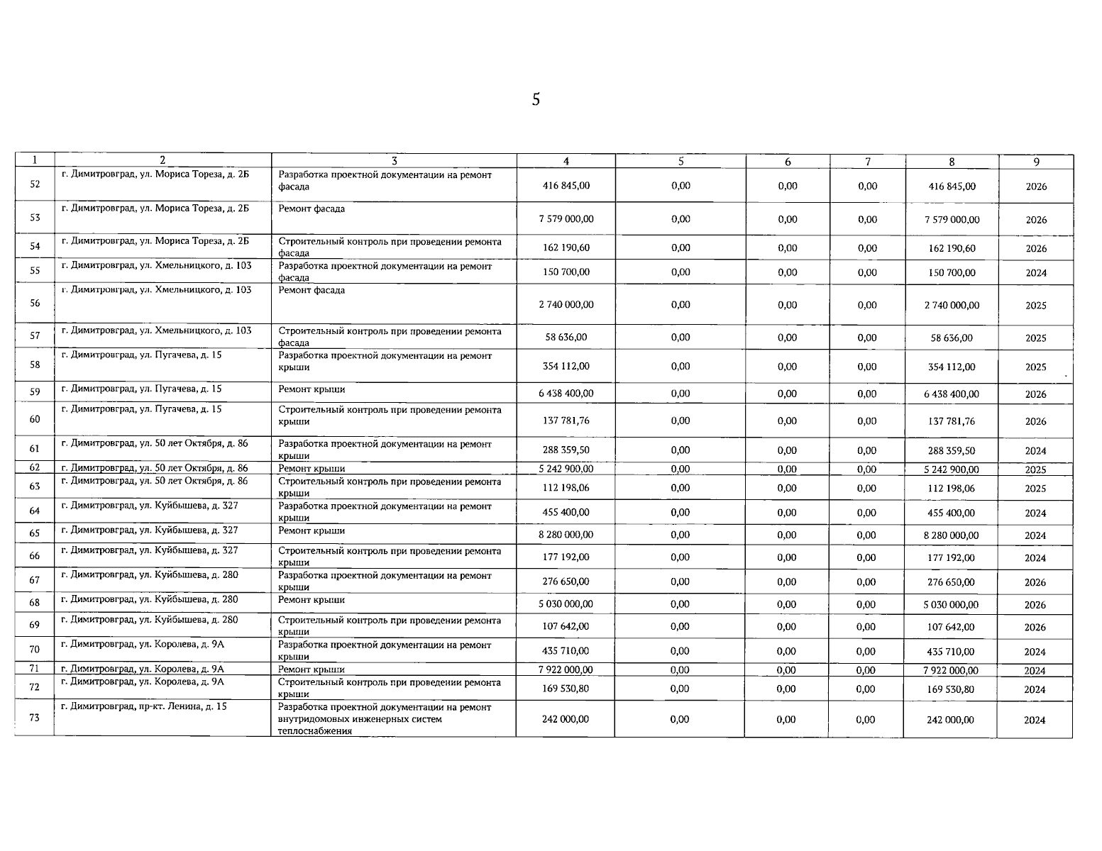
"Об утверждении на 2024-2026 годы краткосрочного плана реализации региональной программы капитального ремонта общего имущества в многоквартирных домах, расположенных на территории Ульяновской области"
(Зарегистрирован 24.01.2024 № ГР-07/3)
Номер опубликования: 7301202401290002
Дата опубликования: 29.01.2024
Страница №6 из 42:
Увеличить