Официальное опубликование правовых актов
ОФИЦИАЛЬНОЕ ОПУБЛИКОВАНИЕ
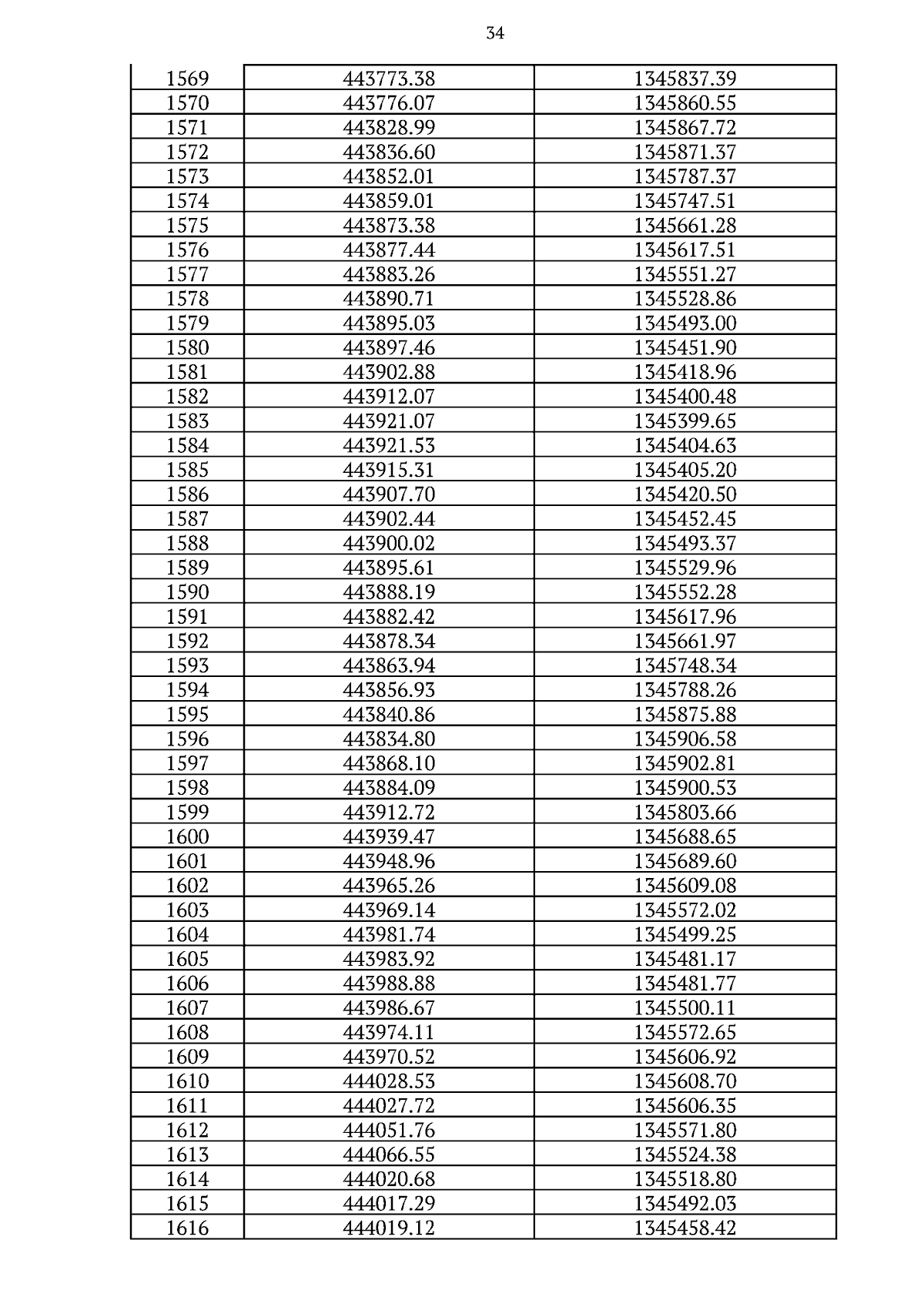
Приказ Министерства имущественных отношений и архитектуры Ульяновской области от 26.12.2023 № 329-пр
"О внесении изменений в приказ Департамента государственного имущества и земельных отношений Ульяновской области от 26.12.2015 № 150-ПОД"
Номер опубликования: 7301202312280086
Дата опубликования: 28.12.2023
Страница №35 из 60:
Увеличить