Официальное опубликование правовых актов
ОФИЦИАЛЬНОЕ ОПУБЛИКОВАНИЕ
Приказ Министерства имущественных отношений и архитектуры Ульяновской области от 25.10.2023 № 153-пр
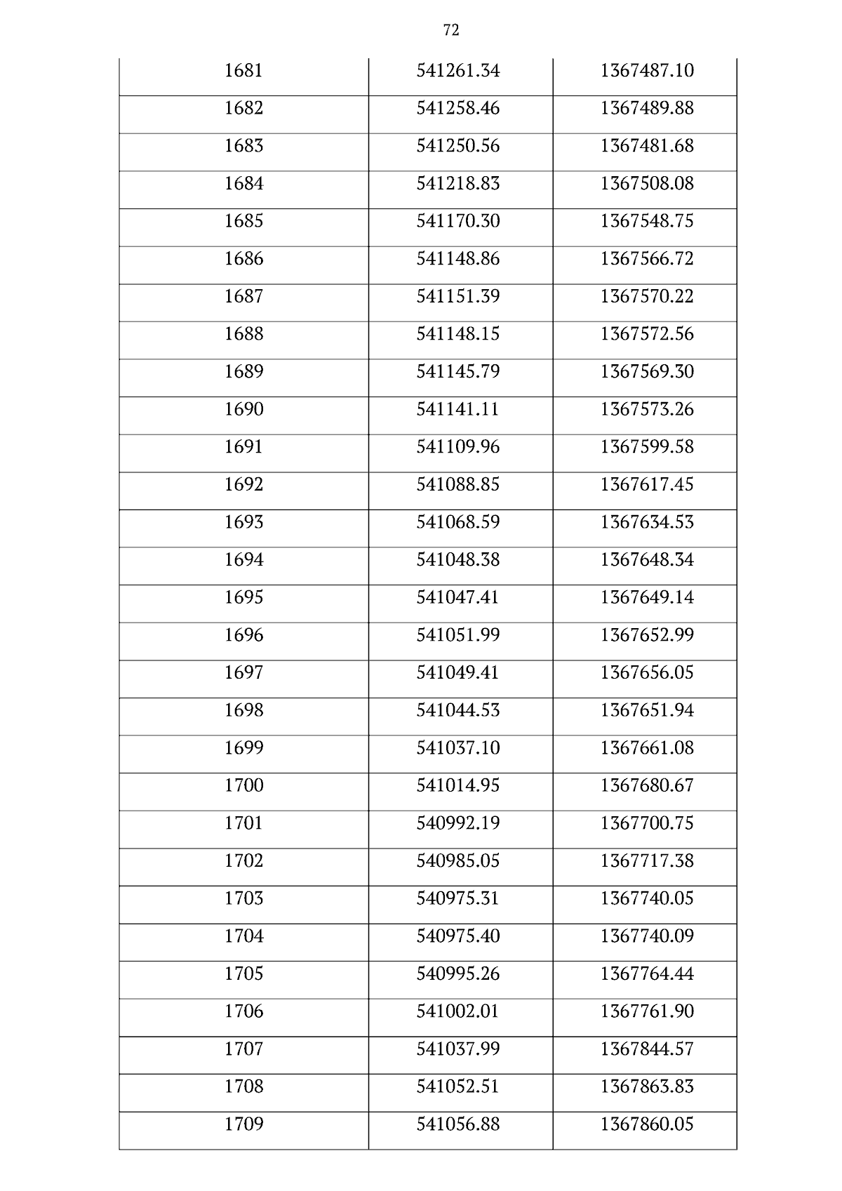
"Об утверждении границы охранной зоны внутрипоселкового газопровода среднего и низкого давления с. Большой Кувай, Сурского района Ульяновской области, протяженностью 18653 м, местоположение: Российская Федерация, Ульяновская область, Сурский район, с. Большой Кувай и наложении ограничений (обременений) на входящие в неё земельные участки"
Номер опубликования: 7301202310270004
Дата опубликования: 27.10.2023
Страница №74 из 85:
Увеличить